الخلف

الإبلاغ عن خطأ

You cannot submit an empty report. Please add some details.
411

الرخصة المهنية

اختبارات عامر التعليمية

اختبار الرخصة المهنية فيزياء نموذج (B)

  1️⃣  يحتوي اختبار الرخصة المهنية الفيزياء على (88) سؤال موزعين في جميع المعايير.

2️⃣  يشمل الاختبار الأقسام الآتية (المنهج العلمي وتطور علم الفيزياء، التجارب العلمية والمهارات الرياضية، الميكانيكا والموائع، الكهربائية والمعناطيسية، الحرارة وخواص المادة، الموجات والضوء، الفيزياء الحديثة، مهارات تدريس الفيزياء).

3️⃣  يحتوي الاختبار على شرح لجميع الأسئلة مع الحل تظهر بعد الانتهاء من الاختبار.

4️⃣  معد من قبل مدربين محترفين ومصمم بجودة عالية.

5️⃣ يوجد ملف كامل للاختبار يحتوي على ( الأسئلة + الشرح ) يمكنك تحميله بعد الانتهاء من الاختبار.

للحصول على كلمة المرور الخاصة بالاختبار بسعر مخفض من خلال متجر حقائب عامر التعليمية اضغط هنا

1 / 88

القسم: مهارات تدريس الفيزياء

عندما يقدم المعلم التغذية الراجعة لطلابه ويوجههم لتفعيلها فإنه يساعدهم على:

2 / 88

القسم: مهارات تدريس الفيزياء

"عملية عقلية عليا وظيفتها إدارة نشاطات التفكير أو التنظيم والمتابعة للأداء الفرد أو نشاطاته أو سلوكياته أثناء قيامه بحل المشكلات أو معالجة المعلومات" هذا التعريف ينطبق على التفكير:

3 / 88

القسم: المنهج العلمي وتطور علم الفيزياء

النص التالي "الطاقة لا تفني من العدم ولكن تتحول من شكل إلى آخر" يمثل:

4 / 88

القسم: المنهج العلمي وتطور علم الفيزياء

أي مما يأتي ليست من خصائص علم الفيزياء:

5 / 88

القسم: الموجات والضوء

زياة شدة الضوء المتساقط على معدن مع ثبات التردد في الظاهرة الكهروضوئية يؤثر على الالكترونات المنبعثة من هذا المعدن بزيادة:

6 / 88

القسم: الفيزياء الحديثة

الكوكب التالي يدور حول الشمس من أي نقطة يكون لديه أعلى سرعة وأدنى سرعة:

اختبارات عامر التعليمية

7 / 88

القسم: الفيزياء الحديثة

جسم ساكن كتلته (150MeV/C²) يتحلل إلى جسمين عديمي الكتلة السكونية، ما سرعة الجسمين:

8 / 88

القسم: الفيزياء الحديثة

هو أقصر زمن دوري لأقمار تدور في مدار دائري حول الأرض، يبعد الأول (120km) عن سطح الأرض والثاني (140km) والثالث (160km) والرابع (180km):

9 / 88

القسم: الميكانيكا والموائع

تتأرجح ذهابا وإيابا في أرجوحة في حديقة ألعاب، إذا وقفت بدلاً من الجلوس فإن زمن الأرجحة ذهابًا وإيابًا:

10 / 88

القسم: الميكانيكا والموائع

تسير نملة بخط مستقيم من السكون وبتسارع (a = 0.05 m/s²) لمدة، (10s) المسافة التي قطعتها النملة خلال هذا الزمن تساوي:

11 / 88

القسم: التجارب العلمية والمهارات الرياضية

استخدم العالم رذرفورد في تجربته جسيمات:

12 / 88

القسم: الكهربائية والمغناطيسية

الأميتر جهاز يستخدم لقياس شدة التيار الكهربائي لذلك يوصل على التوالي في الدوائر الكهربائية والسبب يعود إلى:

13 / 88

القسم: الموجات والضوء

كلما زاد طول الموجة الكهرومغناطيسية فإن:

14 / 88

القسم: التجارب العلمية والمهارات الرياضية

المساحة تحت الدالة، f(x) = 2x – 1 خلال الفترة (-1، 1) هي:

15 / 88

القسم: الكهربائية والمغناطيسية

كرة معدنية مصمتة تحمل شحنة كهربائية موجبة، ما العلاقة التي تعطي قيمة شدة المجال الكهربائي على سطحها:

16 / 88

القسم: مهارات تدريس الفيزياء

طريقة يستخدمها المعلم بإلقاء ما لديها من المعلومات العلمية شفويا إلى الطلبة بتسلسل منطقي يؤدي إلى الانتقال من الجزء إلى الكل ومن السهل إلى الصعب:

17 / 88

القسم: مهارات تدريس الفيزياء

من الأمثلة على عمليات التعلم التكاملية:

18 / 88

القسم: الموجات والضوء

انتشار الضوء خلف الحاجز الذي يعترض مسار الضوء يسمى:

19 / 88

القسم: الحرارة وخواص المادة

وفقا لنظرية الحركية للغازات فإن ضغط الغاز الناتج عن:

20 / 88

القسم: المنهج العلمي وتطور علم الفيزياء

وحدة قياس معامل يونج تكافئ وحدة قياس:

21 / 88

القسم: التجارب العلمية والمهارات الرياضية

يتحرك جسم حسب دالة الموقع التالي: (x(t) = t² - 3t³) التعبير الصحيح لدالة التسارع للجسيم هي:

22 / 88

القسم: الحرارة وخواص المادة

عندما تمتص آلة حرارية كفاءتها (%60) طاقة مقدارها (1500 جول) فإن كمية الطاقة المطرودة تساوي:

23 / 88

القسم: الكهربائية والمغناطيسية

تتحرك شحنة كهربائية خلال مجال مغناطيسي، كما بالرسم أي الحالات الأربع تكون القوة المغناطيسية أكبر:

24 / 88

القسم: الكهربائية والمغناطيسية

ما قيمة المقاومة بين النقطتين (A , B):

اختبارات عامر التعليمية

25 / 88

القسم: الفيزياء الحديثة

مادة مشعة كتلتها (16g) وعمر النصف لها ،(20day) المادة المتبقية منها بعد مرور (100day) ستكون تساوي:

26 / 88

القسم: التجارب العلمية والمهارات الرياضية

في تجربة الأهداب المضيئة والأهداب المعتمة يمكننا الحصول على طيف من الألوان عند استبدال الضوء بضوء آخر:

27 / 88

القسم: الفيزياء الحديثة

الظاهرة التي تثبت أن لجسيمات المادة المتحركة خصائص موجية:

28 / 88

القسم: مهارات تدريس الفيزياء

أي ترتيب الخطوات الآتية صحيح في جدول التعلم:

29 / 88

القسم: التجارب العلمية والمهارات الرياضية

العامل التابع في الرسم البياني المجاور يمثله:

اختبارات عامر التعليمية

30 / 88

القسم: الفيزياء الحديثة

إذا كانت طاقة الفوتون الساقط على سطح فلز (5.5eV) وكان اقتران الشغل للفلز (4.5eV) فإن طاقة الالكترون المتحرر تساوي:

31 / 88

القسم: الميكانيكا والموائع

يملك جسمًا كتلته (2kgطاقة) ميكانيكية قدرها (140J) إذا كان مقدار طاقة الوضع له (40J) عند لحظة معينة، فما مقدار سرعته عند تلك اللحظة:

32 / 88

القسم: الميكانيكا والموائع

يكون القصور الذاتي الدوراني (I) لجسم ما أكبر ما يكون عندما يكون موقع الكتلة:

33 / 88

القسم: المنهج العلمي وتطور علم الفيزياء

تفسير علمي لظاهرة بناء على مشاهدات واستقصاءات مع مرور الزمن:

34 / 88

القسم: الموجات والضوء

مرآة مقعرة بعدها البؤري (10cm) فإذا وضع جسم أمامها على بعد (15cm) منها فإن الصورة المتكونة تكون على بعد:

35 / 88

القسم: مهارات تدريس الفيزياء

استخدم معلم الفيزياء المخطط التنظيمي المجاور، يُعد ذلك:

اختبارات عامر التعليمية

36 / 88

القسم: مهارات تدريس الفيزياء

الاختصار (TIMSS) يقصد به:

37 / 88

القسم: الميكانيكا والموائع

الغواصة في حالة الصعود إلى السطح لعمل صيانة على هيكلها، أي العلاقات الرياضية الآتية هي الأصح، حيث أن (Fg) وزن الغواصة، (Fb) قوة الطفو:

38 / 88

القسم: المنهج العلمي وتطور علم الفيزياء

أي الكميات التالية كمية فيزيائية مشتقة:

39 / 88

القسم: الموجات والضوء

طول موجة دي برونلي بوحدة (m) لإلكترون كمية حركته تساوي (3.3x10²⁴ kg.m/s) حيث (h = 6.6 x 10-³⁴):

40 / 88

القسم: مهارات تدريس الفيزياء

الرمز (STEM) يدل على ربط:

41 / 88

القسم: مهارات تدريس الفيزياء

أفضل وسائل التقويم مناسبة للتعرف على الخصائص الانفعالية للأفراد هي:

42 / 88

القسم: الكهربائية والمغناطيسية

إذا زادت المسافة بين شحنتين بينهما قوة تجاذب إلى أربع أمثال، فإن القوة الجديدة تساوي:

43 / 88

القسم: الميكانيكا والموائع

يحلق صحن طائر في السماء وفق الدالة الرياضية التالية التي تبين موقعه (m)x مع مرور الزمن (x(t) = 2t - 4.9t² :t(s فإن السرعة الابتدائية للجسم هي:

44 / 88

القسم: التجارب العلمية والمهارات الرياضية

قاس أحمد عمق أنبوب اختبار فوجد أنه يساوي (h = 5.42 + 0.01 mm) فإن أقل تدريج لأداة القياس التي استخدمها أحمد في قياسه هو:

45 / 88

القسم: مهارات تدريس الفيزياء

أي من طرق التدريس تساعد الطلاب على الارتباط بالواقع:

46 / 88

القسم: الفيزياء الحديثة

الخط الوهمي من الشمس إلى الكوكب يمسح مساحات متساوية في أزمنة متساوية، هذا قانون:

47 / 88

القسم: المنهج العلمي وتطور علم الفيزياء

من الأمثلة على علاقة علم الفيزياء بعلم الأحياء:

48 / 88

القسم: الميكانيكا والموائع

في الشكل أدناه أنبوب زجاجي على شكل حرف (U) مفتوح الطرفين، إذا كانت كثافة الزيت (0.6g/cm³) وكثافة الماء (1g/cm³) فإن ارتفاع عمود الزيت (h) بوحدة (cm):

اختبارات عامر التعليمية

49 / 88

القسم: المنهج العلمي وتطور علم الفيزياء

"تظل جميع قوانين الطبيعة هي نفسها في جميع الأطر المرجعية المتحركة بسرعة ثابتة" هذه الجملة هي إحدى جمل نظرية:

50 / 88

القسم: الموجات والضوء

يمر شعاع ضوئي غير مستقطب (I₀) خلال حزمة من ثلاثة ألواح مستقطبة، اللوح الأول يتعامد مع الثالث، بينما الثاني يصنع زاوية قدرها (°30) مع الأول، ما نسبة شدة الإشعاع الضوئي الخارج من هذه الحزمة (I) إلى (I₀):

51 / 88

القسم: مهارات تدريس الفيزياء

أي مما يأتي من المستوى الارتباطي المحسوس:

52 / 88

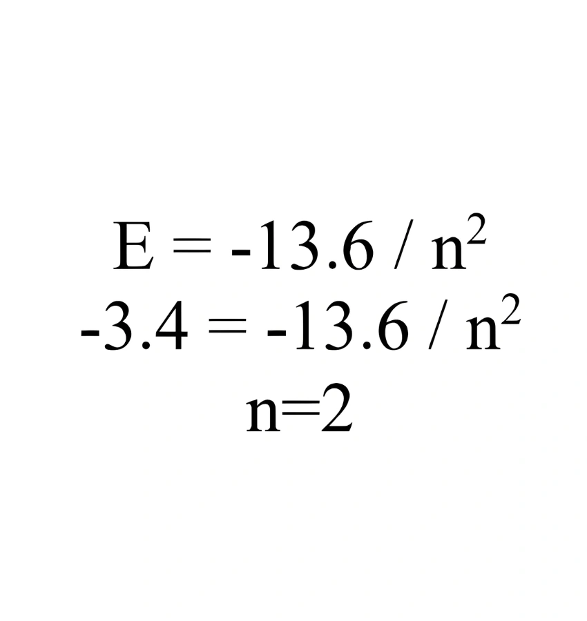
القسم: الفيزياء الحديثة

احسب رقم المدار الذي يدور فيه الكترون ذرة هيدروجين عندما تكون طاقته (3.4ev-):

53 / 88

القسم: الكهربائية والمغناطيسية

احسب المقاومة المكافئة للمقاومات في الشكل المجاور بين النقطتين (A , B) جميع المقاومات قيمتها:

اختبارات عامر التعليمية

54 / 88

القسم: الميكانيكا والموائع

ينشأ التسارع المركزي من:

55 / 88

القسم: المنهج العلمي وتطور علم الفيزياء

إذا كان الطول كمية أساسية فإن المساحة كمية:

56 / 88

القسم: الحرارة وخواص المادة

للحفاظ على الجسور من الانهيار نتيجة تغير درجة الحرارة يراعى عند تصميمها:

57 / 88

القسم: الحرارة وخواص المادة

مادتان مختلفتان لهما نفس الكتلة ودرجة الحرارة تعرضتا لمصدر حراري واحد ولمدة زمنية متساوية، فإذا كانت الحرارة النوعية للمادة (B) فذلك يعني أن درجة حرارة المادة (A) عند نهاية المدة الزمنية تكون:

58 / 88

القسم: مهارات تدريس الفيزياء

توظيف المعلومات السابقة للتوقع بحدوث ظاهرة أو مشكلة ما:

59 / 88

القسم: الكهربائية والمغناطيسية

في الجدول التالي مقادير الفجوة الممنوعة للثلاث مواد (C , B , A) ماذا تمثل كل من (C . B . A) بالترتيب:

اختبارات عامر التعليمية

60 / 88

القسم: الموجات والضوء

التداخل خاصية لـ:

61 / 88

القسم: الكهربائية والمغناطيسية

شحنتان كهربائيتان: (B = 15X10-⁶C  ، A = 5X10-⁶C) والمسافة بين مركزيهما (1m) القوة التي تؤثر بها الشحنة (A) على الشحنة (B) مقارنة بالقوة التي تؤثر بها الشحنة (B) على الشحنة (A): 

62 / 88

القسم: المنهج العلمي وتطور علم الفيزياء

تبدأ الطريقة العلمية بـ:

63 / 88

القسم: الميكانيكا والموائع

يدفع كلا من خالد ويزن صندوقا كتلته (50kg) موضوع على سطح أملس بقوة قدرها (100N) لكل منهما، مقدار تسارع الصندوق هو:

64 / 88

القسم: الموجات والضوء

أي خصائص الموجات الكهرومغناطيسية الآتية لا تتغير بتغير الوسط:

65 / 88

القسم: المنهج العلمي وتطور علم الفيزياء

أي الوحدات التالية وحدة قياس لكمية أساسية في النظام العالمي:

66 / 88

القسم: الكهربائية والمغناطيسية

يكون اتجاه المجال الكهربائي عند النقطة (P) الناتج من الشحنتين (q , +q-) إلى:

اختبارات عامر التعليمية

67 / 88

القسم: المنهج العلمي وتطور علم الفيزياء

أي الكميات التالية كمية قياسية:

68 / 88

القسم: الموجات والضوء

أين يجب أن يوضع الجسم من سطح مرآة مقعرة لتتكون له صورة وهمية مكبرة:

69 / 88

القسم: التجارب العلمية والمهارات الرياضية

ما دلالة ارتداء عدد قليل من جسيمات ألفا عكس مسارها عندما سلط رذرفورد الأشعة في اتجاه صحيفة الذهب:

اختبارات عامر التعليمية

70 / 88

القسم: الموجات والضوء

عند عودة الكترون ذرة الهيدروجين من مستويات الإثارة العليا إلى المستوى الأول فإن الفوتون المشع منه يقع ضمن طيف الأمواج الكهرومغناطيسية:

71 / 88

القسم: الكهربائية والمغناطيسية

عندما نعكس اتجاه التيار (B) دون تغير المقدار فإن الموصلين:

اختبارات عامر التعليمية

72 / 88

القسم: التجارب العلمية والمهارات الرياضية

لديك العلاقة الرياضية التالية: (p/A = σeT⁴) فإن العلاقة الرياضية لحساب (T) هي:

73 / 88

القسم: المنهج العلمي وتطور علم الفيزياء

أي مما يأتي ليست وحدة قياس لكمية أساسية:

74 / 88

القسم: الميكانيكا والموائع

ينزلق جسم كتلته (10Kg) من السكون من قمة ارتفاع (10m) كما في الشكل، فإذا كانت زاوية المنحدر تساوي (°30) ومعاملات الاحتكاك الساكن والمتحرك (µs = µk = 0.1) فما مقدار الطاقة التي تبددت بسبب الاحتكاك بوحدة (J):

اختبارات عامر التعليمية

75 / 88

القسم: مهارات تدريس الفيزياء

أي من المواصفات المعيارية الآتية لا ينبغي مراعاتها لتحديد أهداف التعلم:

76 / 88

القسم: الحرارة وخواص المادة

احسب التغير في الانتروبي لعينة من غاز درجة حرارتها (-270) مئوية عندما تمتص (30) جول من الحرارة:

77 / 88

القسم: الحرارة وخواص المادة

الرسم البياني للعلاقة بين القوة المؤثرة على قضيب مرن واستطالته تمثل بالشكل ماذا يمثل ميل الرسم:

اختبارات عامر التعليمية

78 / 88

القسم: الميكانيكا والموائع

الشكل المجاور يمثل مقياس فنتوري (يعمل على مبدأ برنولي) أي الجمل الآتية تعبر عن علاقة صحيحة:

اختبارات عامر التعليمية

79 / 88

القسم: الميكانيكا والموائع

في أي الحالات الآتية فيها عزم الدوران أكبر ما يمكن؟ حيث (C) تمثل محور الدوران والقوة (F) وطول الذراع (L):

80 / 88

القسم: المنهج العلمي وتطور علم الفيزياء

الكمية الفيزيائية التي تمثل كمية متجهة هي:

81 / 88

القسم: المنهج العلمي وتطور علم الفيزياء

اتفاق نتائج القياس المقبولة في القياس (المعتمدة من قبل خبراء مؤهلين للقياس) هو:

82 / 88

القسم: المنهج العلمي وتطور علم الفيزياء

معدل تغير السرعة بالنسبة للزمن:

83 / 88

القسم: مهارات تدريس الفيزياء

أحد السلوكيات الآتية للمعلم تمثل اتجاها إيجابيا نحو مهنة التدريس وتترك أثرا في طلابه:

84 / 88

القسم: الكهربائية والمغناطيسية

عندما تتعرض شحنة موجبة لمجال كهربائي منتظم فإنها تتحرك:

85 / 88

القسم: مهارات تدريس الفيزياء

طريقة التدريس التي تساعد على التخيل:

86 / 88

القسم: التجارب العلمية والمهارات الرياضية

انخفاض درجة الحرارة ليلا بسبب نقصان سرعة الصوت وللتحقق منذ ذلك يمكننا إجراء التجربة في:

87 / 88

القسم: الحرارة وخواص المادة

يشارك بشكل أساسي في عملية التوصيل الحراري:

88 / 88

القسم: المنهج العلمي وتطور علم الفيزياء

تفسير قابل للاختبار:

درجاتك هي

 ✅✅ قم بالنشر الآن مع اصدقائك لدعمنا 

LinkedIn Facebook Twitter
0%

الخروج

 ✅ نتمنى أن تكون أعجبتك تجربتنا 

 ✅ شكرا لمساعدتك في تحسين أدائنا 

كيف يمكنني أن أساعدك؟