الخلف

الإبلاغ عن خطأ

You cannot submit an empty report. Please add some details.
15

الرخصة المهنية

اختبارات عامر التعليمية

اختبار الرياضيات (1) تجميعات السنين السابقة (1446هـ - 1445هـ - 1444هـ)

1️⃣ يحتوي اختبار الرخصة المهنية الرياضيات (1) تجميعات السنين السابقة على 88 سؤال موزعين في جميع الأقسام.

2️⃣ يشمل جميع الأقسام والمعايير (1444هـ - 1445هـ - 1446هـ).

3️⃣ معد من قبل مدربين محترفين ومصمم بجودة عالية.

يمكنك الآن شراء اختبار تجميعات الرياضيات تجميعات السنين السابقة بسعر مخفض وبجودة عالية من منصة عامر للحقائب التعليمية اضغط هنا

1 / 88

القسم: تجميعات رياضيات (1) 1445هـ

الطريقة التي ينطلق فيها المعلم من الأمثلة للقاعدة:

2 / 88

القسم: تجميعات رياضيات (1) 1444هـ

في المتتابعة (-12 , -8 , -4 , 0 , 4 , ...…) ما رتبة الحد الذي قيمته (84):

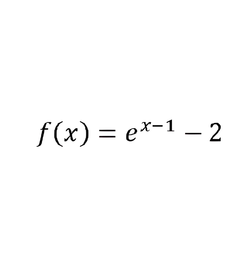
3 / 88

القسم: تجميعات رياضيات (1) 1446هـ

عند إزاحة الدالة التالية وحدة واحدة لليمين، ووحدتين للأسفل، فإن الدالة الناتجة:

4 / 88

القسم: تجميعات رياضيات (1) 1444هـ

إذا كان y = 2 + ½ (x + 10) فما قيمة (y) إذا كان (x = 3)؟

5 / 88

القسم: تجميعات رياضيات (1) 1446هـ

إذا كان سعر سلعة ما (500) ريال، وإذا تم تخفيض سعرها بنسبة (30%) وفي اليوم الثاني (10%)، فكم يصبح سعر السلعة؟

6 / 88

القسم: تجميعات رياضيات (1) 1445هـ

بكم طريقة يمكننا تكوين مستطيل من عدة مستطيلات في صف واحد؟ الاستراتيجية المستخدمة هي:

7 / 88

القسم: تجميعات رياضيات (1) 1446هـ

اختبرت معلمة (4) طالبات وكان المتوسط الحسابي للدرجات (40) فإذا أضافت (8) درجات لكل طالبة، فما هو المتوسط الحسابي الجديد؟

8 / 88

القسم: تجميعات رياضيات (1) 1445هـ

شرحت المعلمة للطالبات نظرية فيثاغورس على مثلث غير قائم الزاوية لتثبت لهم أن النظرية تنطبق فقط على المثلث قائم الزاوية، ماذا طبقت المعلمة:

9 / 88

القسم: تجميعات رياضيات (1) 1444هـ

ما المتوسط الحسابي للعددين ²(66730) , ²(66732)؟

10 / 88

القسم: تجميعات رياضيات (1) 1444هـ

«كل رباعي منتظم متوازي أضلاع» العبارة السابقة:

11 / 88

القسم: تجميعات رياضيات (1) 1446هـ

في الشكل المقابل إذا كانت المسافة بين الدائرتين= (20)سم فإن الفرق بين محيطيهما هو:

12 / 88

القسم: تجميعات رياضيات (1) 1444هـ

معلم يختار كل أسبوع طالبين للإذاعة المدرسية، فإذا كان عدد الطلاب (10) فبكم طريقة يمكن الاختيار بينهم؟

13 / 88

القسم: تجميعات رياضيات (1) 1446هـ

مجموعة حل المتباينة (x²) - (2) ≥ (x):

14 / 88

القسم: تجميعات رياضيات (1) 1444هـ

إذا كان الشكل (ABCDE) خماسي منتظم فما قيمة (x):

15 / 88

القسم: تجميعات رياضيات (1) 1445هـ

بكم طريقة يمكن الانتقال من (a) إلى (c) والعودة مرة أخرى إلى (a):

16 / 88

القسم: تجميعات رياضيات (1) 1446هـ

ما قيمة (x) التي تجعل التقرير [(p ∨ x) ∨ p ~]~ خاطئ دائمًا؟

 

17 / 88

القسم: تجميعات رياضيات (1) 1445هـ

اشترى صالح (6) كتب، واشترت هند (x) كتب، فإذا كان إجمالي عدد الكتب (30) فكم عدد كتب هند؟

18 / 88

القسم: تجميعات رياضيات (1) 1444هـ

أي المقاييس التالية يقيس تباعد البيانات:

19 / 88

القسم: تجميعات رياضيات (1) 1446هـ

عشرة أشخاص يصافحون بعض مرة واحدة، كم عدد المصافحات؟

20 / 88

القسم: تجميعات رياضيات (1) 1446هـ

أوجد قيمة (a) التي تجعل المستقيمين (y - 3x = 2) , (2y = ax + 1) متوازيان:

21 / 88

القسم: تجميعات رياضيات (1) 1446هـ

إذا كان قياس الزاوية الداخلية لمضلع منتظم تساوي (°144)، فكم عدد أضلاعه:

22 / 88

القسم: تجميعات رياضيات (1) 1446هـ

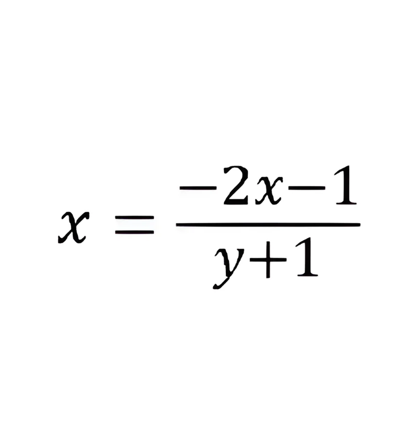
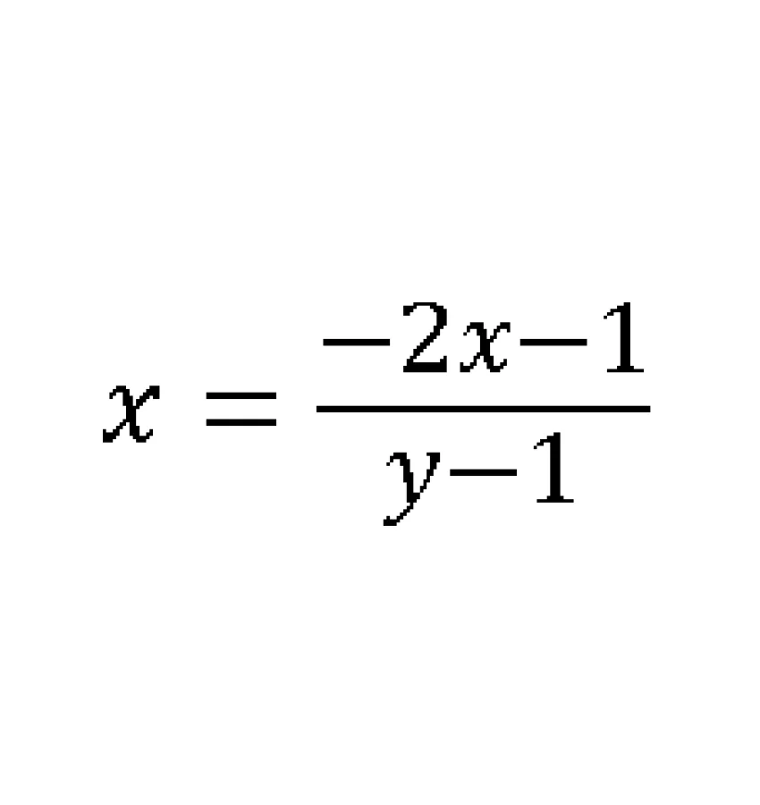
الدالة العكسية للدالة:

23 / 88

القسم: تجميعات رياضيات (1) 1445هـ

إذا كان المثلثان متشابهان، فما قيمة (x):

24 / 88

القسم: تجميعات رياضيات (1) 1446هـ

صندوقان في الأول خمس كرات زرقاء، وخمس حمراء، وفي الصندوق الثاني (6) كرات صفراء، و (4) كرات حمراء، سُحبت كرة من كل صندوق، ما احتمال أن تكون الكرتان حمراء:

25 / 88

القسم: تجميعات رياضيات (1) 1445هـ

مربع محيطه يساوي محيط مثلث متطابق الأضلاع طول ضلعه (4)، ما مساحة المربع؟

26 / 88

القسم: تجميعات رياضيات (1) 1444هـ

قطعة من الحديد سمكها (K)، ويراد تقسيمها إلى عدة رقائق سمك الواحدة فيها (1.5cm)، فما المعادلة الصحيحة لذلك؟

27 / 88

القسم: تجميعات رياضيات (1) 1444هـ

سافر ثامر إلى ألمانيا لمدة أسبوعين، صرف خلالها (11000) يورو، فإذا كان (4.22 ريال =1 يورو) فما قيمة الرحلة بالريال؟

28 / 88

القسم: تجميعات رياضيات (1) 1444هـ

أسطوانة نصف قطرها (2cm) وارتفاعها (3cm) ، ما مساحتها الجانبية؟

29 / 88

القسم: تجميعات رياضيات (1) 1446هـ

ما الشكل الذي يكون مضادًا للتخمين «إذا كان قطرا الشكل الرباعي متطابقين فإنه مستطيل»؟

30 / 88

القسم: تجميعات رياضيات (1) 1444هـ

إذا دفع محمد (111) ريال ضريبة على مشترياته وكانت تُمثل (15%)؛ فما قيمة مشترياته مع الضريبة؟

31 / 88

القسم: تجميعات رياضيات (1) 1444هـ

ما مساحة الشكل؟

32 / 88

القسم: تجميعات رياضيات (1) 1444هـ

خزان على شكل نصف كرة نصف قطرها (6)، أوجد حجم الخزان؟

33 / 88

القسم: تجميعات رياضيات (1) 1444هـ

ما قيمة (2√3) + (27√):

34 / 88

القسم: تجميعات رياضيات (1) 1446هـ

إذا كان المتوسط الحسابي لستة أعداد (20)، ومتوسط عددين (50)، فما المتوسط الحسابي لباقي الأعداد؟

35 / 88

القسم: تجميعات رياضيات (1) 1444هـ

36 / 88

القسم: تجميعات رياضيات (1) 1444هـ

عند جمع عددان فرديان فإن الناتج زوجي، يُعد:

37 / 88

القسم: تجميعات رياضيات (1) 1445هـ

إذا كانت نسبة قبول الطلاب إلى الطالبات في إحدى الجامعات (2 ∶ 3) على الترتيب؛ وكان عدد الطالبات (4500) فكم عدد الطلاب؟

38 / 88

القسم: تجميعات رياضيات (1) 1444هـ

بكم طريقة يمكن ترتيب (46) طالب في طابور بحيث يقف أحد الطلاب خلف أخيه؟

39 / 88

القسم: تجميعات رياضيات (1) 1446هـ

إذا كانت (1) + (X²) = (X)f وكانت (3) - (x) = (x)g فما قيمة (x) التي تجعل (x) [g • f] = (x) [f • g]:

40 / 88

القسم: تجميعات رياضيات (1) 1444هـ

عددان حاصل ضربهما( 13)، ما مجموعهما:

41 / 88

القسم: تجميعات رياضيات (1) 1444هـ

ما قيمة 2 ÷ (2.4 - 8.4):

42 / 88

القسم: تجميعات رياضيات (1) 1444هـ

ما قيمة (a) تجعل للمعادلة (ax² - 12x = -9) حل وحيد؟

43 / 88

القسم: تجميعات رياضيات (1) 1444هـ

44 / 88

القسم: تجميعات رياضيات (1) 1446هـ

أربعة أرقام فردية متتالية مجموعها (328)، ما أصغر عدد؟

45 / 88

القسم: تجميعات رياضيات (1) 1444هـ

مجموعة مكونة من (5) عناصر، كم عدد المجموعات الجزئية عدا (∅):

46 / 88

القسم: تجميعات رياضيات (1) 1446هـ

بكم طريقة يمكن لـ (7) أشخاص الجلوس على طاولة دائرية:

47 / 88

القسم: تجميعات رياضيات (1) 1446هـ

مستطيل طول قطره (5cm) وأحد أضلاعه (4cm)، أوجد مساحة المستطيل:

48 / 88

القسم: تجميعات رياضيات (1) 1444هـ

وعاء يتسع لـ (1.5) لتر، فإذا ملئت (6) أكواب لـ (1) لتر؛ فكم كوبًا يملأ هذا الوعاء؟

49 / 88

القسم: تجميعات رياضيات (1) 1446هـ

في مدرسة ما يقام اختبار الرياضيات كل (6) أيام، واختبار العلوم كل (8) أيام، فإذا علمت أن عد أيام الدراسة (110) يوم ففي كم يوم سيختبر الطلاب المادتين معًا؟

50 / 88

القسم: تجميعات رياضيات (1) 1445هـ

إذا حدث انعكاس للنقطة (9 , 8) حول المستقيم (y = x)، فما صورتها؟

51 / 88

القسم: تجميعات رياضيات (1) 1445هـ

كم حجم مكعب طول حرفه (7):

52 / 88

القسم: تجميعات رياضيات (1) 1445هـ

ثلاثة أعداد صحيحة متتالية، إن مجموعهم يساوي:

53 / 88

القسم: تجميعات رياضيات (1) 1446هـ

أوجد مجموعة حل المعادلة (x² + 4x - 5 = 0):

54 / 88

القسم: تجميعات رياضيات (1) 1446هـ

إذا كان (A) حادثة فأي التالي لا يمثل احتمالها:

55 / 88

القسم: تجميعات رياضيات (1) 1446هـ

شترى محمد (15) حبة من موز وتفاح ودفع (38) ريال، فإذا كان ثمن حبة الموز ريالين وحية التفاح ثلاثة ريالات، فكم حبة موز اشترى؟

56 / 88

القسم: تجميعات رياضيات (1) 1445هـ

ما مساحة مستطيل طوله (3)؟

57 / 88

القسم: تجميعات رياضيات (1) 1444هـ

مستطيل محيطه (14cm) وعرضه (3cm)، أوجد طوله؟

58 / 88

القسم: تجميعات رياضيات (1) 1444هـ

إذا كان (q → ~ p ~) واستخدمنا (p → q) للحل فأي العبارات التالية تم استخدامها؟

59 / 88

القسم: تجميعات رياضيات (1) 1446هـ

إذا حدث انعكاس للنقطة (4- , 1) حول المستقيم (y = x)، فما صورتها:

60 / 88

القسم: تجميعات رياضيات (1) 1445هـ

ذا كان الشكل متوازي أضلاع، فما قيمة (x):

61 / 88

القسم: تجميعات رياضيات (1) 1446هـ

أوجد قيمة (x):

62 / 88

القسم: تجميعات رياضيات (1) 1446هـ

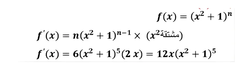
أوجد مشتقة الدالة ⁶(1 + X²):

63 / 88

القسم: تجميعات رياضيات (1) 1446هـ

توظيف المعلم حساب الزكاة في مسائل النسبة المئوية يسمى:

64 / 88

القسم: تجميعات رياضيات (1) 1446هـ

مربع طول ضلعه (x + 4) ومحيطه ( 10x - 2)، ما مساحته؟

65 / 88

القسم: تجميعات رياضيات (1) 1446هـ

متوسط (5) أعداد يساوي (7)، وإذا علمت أن عددين منهم هما (3 , 2) فما متوسط الأعداد الثلاثة الباقية:

66 / 88

القسم: تجميعات رياضيات (1) 1446هـ

إذا كان الشكل مربع و (AM=3)، فما طول (BC):

67 / 88

القسم: تجميعات رياضيات (1) 1446هـ

النظرية التي يرى أصحابها أن معرفة حلول أي مشكلة إنما يكون بالنظر إلى مجالها الكلي، نظرية:

68 / 88

القسم: تجميعات رياضيات (1) 1446هـ

(4²⁰²) + (4²⁰¹) + (4²⁰⁰) يقبل القسمة على:

69 / 88

القسم: تجميعات رياضيات (1) 1445هـ

ما قياس زاوية (A):

70 / 88

القسم: تجميعات رياضيات (1) 1446هـ

لدينا (4) طلاب في الصف الرابع و (3) من الصف الثالث، بكم طريقة يمكن طالبين منهم من صف واحد؟

71 / 88

القسم: تجميعات رياضيات (1) 1446هـ

الجذر التكعيبي للعدد (0.000125) يساوي:

72 / 88

القسم: تجميعات رياضيات (1) 1446هـ

موقف جديد يتعرض له المتعلم وليس له حل جاهز في ذهنه:

73 / 88

القسم: تجميعات رياضيات (1) 1445هـ

(200) طالب منهم (90) طالب متفوق في الرياضيات و (80) في العلوم، و (50) في المادتين، إذا تم تحديد طال عشوائيًا فما احتمال أن يكون متفوق في الرياضيات أو العلوم؟

74 / 88

القسم: تجميعات رياضيات (1) 1445هـ

تحديد العملية الحسابية لحل المسألة تأتي تحت خطوة:

75 / 88

القسم: تجميعات رياضيات (1) 1444هـ

رُميت قطعة نقدية (4) مرات، ما احتمال ظهور الصورة في الأربع مرات معًا:

76 / 88

القسم: تجميعات رياضيات (1) 1446هـ

في الشكل إذا أراد الانتقال من النقطة (a) إلى النقطة (b) بشرط أن يمشي على المحيط، و طول قطر الدائرة (10)؛ فما أقل مسافة يقطعها:

77 / 88

القسم: تجميعات رياضيات (1) 1444هـ

إذا كانت النقاط (3- , 0) , (0 , 5) , (k , 3) تقع على استقامة واحدة، فما قيمة (k):

78 / 88

القسم: تجميعات رياضيات (1) 1446هـ

إذا كانت أرقام هواتف شركة الإتصالات تبدأ بـ (054) , (058) حيث أن عدد الأرقام (10)، فكم عدد الأرقام المختلفة التي يمكن تكوينها:

79 / 88

القسم: تجميعات رياضيات (1) 1445هـ

إذا استهلك شخص ما ثلاثة أرباع بنزين السيارة وتبقى معه (200) لتر بنزين، فكم سعة خزان السيارة:

80 / 88

القسم: تجميعات رياضيات (1) 1444هـ

ثلاثة أعداد صحيحة متتالية، إن مجموعهم يساوي:

81 / 88

القسم: تجميعات رياضيات (1) 1444هـ

إذا كان (x + 1) جذر للمعادلة (2x² + 5x + 3 = 0)، فما الجذر الآخر؟

82 / 88

القسم: تجميعات رياضيات (1) 1445هـ

أي الأعداد التالية أولي؟

83 / 88

القسم: تجميعات رياضيات (1) 1446هـ

إذا كان حجم أسطوانة دائرية قائمة (88cm³)، وطول ارتفاعها (7cm)، فما طول نصف قاعدتها؟

84 / 88

القسم: تجميعات رياضيات (1) 1446هـ

في الشكل مربع مرسوم داخل دائرة طول ضلعه (4)، ما مساحة المظلل:

85 / 88

القسم: تجميعات رياضيات (1) 1444هـ

86 / 88

القسم: تجميعات رياضيات (1) 1446هـ

عند إلقاء مكعبين مرقمين مرة واحدة ما احتمال ظهور عددين مجموعهم (6):

87 / 88

القسم: تجميعات رياضيات (1) 1445هـ

عددان مجموعهم (69) وناتج طرحهم (13)، ما هو العدد الأصغر؟

88 / 88

القسم: تجميعات رياضيات (1) 1445هـ

بكم طريقة يمكن ترتيب حروف كلمة نجران؟

درجاتك هي

 ✅✅ قم بالنشر الآن مع اصدقائك لدعمنا 

LinkedIn Facebook Twitter
0%

الخروج

 ✅ نتمنى أن تكون أعجبتك تجربتنا 

 ✅ شكرا لمساعدتك في تحسين أدائنا